Rozšířené hledání} Informace o členství Kontaktní informace Seznam uživatelů Kalendář Spřátelené weby Honda-club.cz Přihlásit se k emailu
[2]
Linka Uživatelské skupiny Linka Galerie avatarů Linka Kdo je online Linka
Linka Jak se stát členem klubu Linka Stáhnout stanovy sdružení Linka Výhody pro členy klubu Linka
  Obsah fóra Honda-club.cz   
kolik A teče remote kabelem ?
Fórum: Interiér a Hi-Fi
0
Pomohlo ti toto téma?   
Zobrazit příspěvky z předchozích:
 Řadit příspěvky dle: 
Zaslat odpověď



  Strana 1 z 1
gear je teď offline  gear
4 háčka
Členství: Žádné
0
PříspěvekZaslal: 28.10.2010 , 18:40  Naposledy upravil gear dne 30.10.2010 , 19:26, celkově upraveno 1 krát. Citovat  

potřebuji poradit. signál na rádiu dává buď Cinch a nebo Iso konektor. z iso konektoru jsou chycený repráky a zítra budu dávat do auta dvoukanálový zesilovač a subwoofer. odkud mám chytit signál z rádia do zesilovače ? připojit ho k iso konektoru k jednomu z repráků a nebo přímo z cinche ? a pak jakým kabelem propojit zesilovač a subwoofer ? koupil jsem tuhle sadu tudy odkaz

napájecí kabel chápu(baterka-zesík)
zemnící taky
remote-ten by měl jít z rádia do zesilovače na vypnutí zapnutí?
a ten pár cinchů půjde kam ? signál teda ?

omluvte lamičku, ale potřebuju poradit. vím že tady podobné téma už je, ale tam se mluví jen o remote kabelu H+
   Pomohl ti příspěvěk? Návrat  
    
Zobrazit informace o autorovi Osobní garáž Odeslat soukromou zprávu
Příspěvky: 2845 H+ body: 4 2016 Civic Tourer  
Hondik je teď offline  Hondik
4 háčka
Členství: Žádné
0
PříspěvekZaslal: 28.10.2010 , 18:48  Naposledy upravil Hondik dne 28.10.2010 , 18:54, celkově upraveno 1 krát. Citovat  

pokud sem to dobre pochopil tak radio ma vystup zezadu na cinche tak to napoj na ne a ze zesaku do subwooferu uz vedou normalni audio kabely a kdyz ne tak jeste jedny cinche na propojeni zesaku se subwoofrem
zalezi co mas za zesak ale vetsinou je signal z radia veden cinchema do zesaku a pak dvoujlinkou ze zesaku k repraku (subwoofer)
   Pomohl ti příspěvěk? Návrat  
    
Zobrazit informace o autorovi Osobní garáž Odeslat soukromou zprávu
Příspěvky: 4806 H+ body: 5 1990 Civic  
Hifil je teď offline  Hifil
3 háčka
Členství: Žádné
0
PříspěvekZaslal: 28.10.2010 , 18:52   Citovat  

Je to tak, jak píšeš.. Napájecí kabel od baterky k zesíku - pojistka co nejblíže baterii. Zemnící od zesíku ke kastli a od záporného pólu baterky ke kastli (posílení origo kostry). Remote modrý kablík od rádia k zesíku kvůli jeho spínání. Cinche od rádia k zesilovači. A tady pozor!! Signálové kabely nesmí nikde vést společně s napájecími kabely, ani je nějak křížit. Stejně tak se snaž co nevíce se signálovými kabely vyhnout všem ostatním kabelům v autě.. Pokud bys položil signálový kabel někam s napájecím, může velmi snadno dojít k rušení signálu.. Něco k napájení jsem napsal i tady: Odkaz

Edit: Jaký výkon půjde od zesilovače do subwooferu a jak dlouhý bude ten kabel?
Edit2: Předpokládal jsem, že na rádiu výstupy Cinch máš.. Úsměv Máš?
   Pomohl ti příspěvěk? Návrat  
    
Zobrazit informace o autorovi  Odeslat soukromou zprávu
Příspěvky: 1140 H+ body: 1  
gear je teď offline  gear
4 háčka
Členství: Žádné
0
PříspěvekZaslal: 28.10.2010 , 19:01   Citovat  

Hifil napsal:
Je to tak, jak píšeš.. Napájecí kabel od baterky k zesíku - pojistka co nejblíže baterii. Zemnící od zesíku ke kastli a od záporného pólu baterky ke kastli (posílení origo kostry). Remote modrý kablík od rádia k zesíku kvůli jeho spínání. Cinche od rádia k zesilovači. A tady pozor!! Signálové kabely nesmí nikde vést společně s napájecími kabely, ani je nějak křížit. Stejně tak se snaž co nevíce se signálovými kabely vyhnout všem ostatním kabelům v autě.. Pokud bys položil signálový kabel někam s napájecím, může velmi snadno dojít k rušení signálu.. Něco k napájení jsem napsal i tady: Odkaz

Edit: Jaký výkon půjde od zesilovače do subwooferu a jak dlouhý bude ten kabel?
Edit2: Předpokládal jsem, že na rádiu výstupy Cinch máš.. Úsměv Máš?


díky moc, takže zapojení bych měl chápat a o rušení signálu od napajecích už jsem taky četl, takže tomu se vyvaruju co půjde.
výkon zesíku je
4ohm stereo = 2x100W RMS
2ohm stereo = 2x160W RMS
4ohm mono = 1x325W RMS

co přesně je můj případ to netuším Se stydím asi těch 325W mono ?

kabel zesík-woofer bude max metr dlouhý

k těm cinchum na radiu, jsou tam tři páry-front, rear a subwoofer output. předpokládám že cinche do zesíku půjdou z toho subwoofer outputu ?
   Pomohl ti příspěvěk? Návrat  
    
Zobrazit informace o autorovi Osobní garáž Odeslat soukromou zprávu
Příspěvky: 2845 H+ body: 4 2016 Civic Tourer  
Hifil je teď offline  Hifil
3 háčka
Členství: Žádné
0
PříspěvekZaslal: 28.10.2010 , 19:06   Citovat  

gear napsal:
díky moc, takže zapojení bych měl chápat a o rušení signálu od napajecích už jsem taky četl, takže tomu se vyvaruju co půjde.
výkon zesíku je
4ohm stereo = 2x100W RMS
2ohm stereo = 2x160W RMS
4ohm mono = 1x325W RMS

co přesně je můj případ to netuším Se stydím

kabel zesík-woofer bude max metr dlouhý

k těm cinchum na radiu, jsou tam tři páry-front, rear a subwoofer output. předpokládám že cinche do zesíku půjdou z toho subwoofer outputu ?


Předpokládám, že máš jednocívkový čtyřohmový subwoofer, takže tvůj případ bude 325W RMS..
Reprokabel bych dal minimálně 2x2,5, ale lépe 2x4 mm2.
Cinche určitě z subwoofer out.. Budeš pak mít určitě možnost si ovádat minimálně hlasitost SW přímo na rádiu..
   Pomohl ti příspěvěk? Návrat  
    
Zobrazit informace o autorovi  Odeslat soukromou zprávu
Příspěvky: 1140 H+ body: 1  
gear je teď offline  gear
4 háčka
Členství: Žádné
0
PříspěvekZaslal: 28.10.2010 , 19:08   Citovat  

Hifil napsal:
Předpokládám, že máš jednocívkový čtyřohmový subwoofer, takže tvůj případ bude 325W RMS..
Reprokabel bych dal minimálně 2x2,5, ale lépe 2x4 mm2.
Cinche určitě z subwoofer out.. Budeš pak mít určitě možnost si ovádat minimálně hlasitost SW přímo na rádiu..


subwoofer tam půjde tenhle tudy odkaz takže zítra ještě nakoupím ty kabely 2x4mm2.. na ty jsem jaksi zapomněl.

díky moc kluci je to dobrý h-c rulezz Je to tam.
   Pomohl ti příspěvěk? Návrat  
    
Zobrazit informace o autorovi Osobní garáž Odeslat soukromou zprávu
Příspěvky: 2845 H+ body: 4 2016 Civic Tourer  
Hifil je teď offline  Hifil
3 háčka
Členství: Žádné
0
PříspěvekZaslal: 28.10.2010 , 19:12   Citovat  

jj. Jednocívka čtyřohm.. Úsměv Tak mnoho zdaru!
   Pomohl ti příspěvěk? Návrat  
    
Zobrazit informace o autorovi  Odeslat soukromou zprávu
Příspěvky: 1140 H+ body: 1  
gear je teď offline  gear
4 háčka
Členství: Žádné
0
PříspěvekZaslal: 28.10.2010 , 19:13   Citovat  

Hondik napsal:
pokud sem to dobre pochopil tak radio ma vystup zezadu na cinche tak to napoj na ne a ze zesaku do subwooferu uz vedou normalni audio kabely a kdyz ne tak jeste jedny cinche na propojeni zesaku se subwoofrem
zalezi co mas za zesak ale vetsinou je signal z radia veden cinchema do zesaku a pak dvoujlinkou ze zesaku k repraku (subwoofer)


jasný, cinche rádio-zesík a dvojlinka 4mm2 zesík-subwoofer. paráda, díky přátele
   Pomohl ti příspěvěk? Návrat  
    
Zobrazit informace o autorovi Osobní garáž Odeslat soukromou zprávu
Příspěvky: 2845 H+ body: 4 2016 Civic Tourer  
Hifil je teď offline  Hifil
3 háčka
Členství: Žádné
0
PříspěvekZaslal: 28.10.2010 , 19:15   Citovat  

Hondik napsal:
pokud sem to dobre pochopil tak radio ma vystup zezadu na cinche tak to napoj na ne a ze zesaku do subwooferu uz vedou normalni audio kabely a kdyz ne tak jeste jedny cinche na propojeni zesaku se subwoofrem
zalezi co mas za zesak ale vetsinou je signal z radia veden cinchema do zesaku a pak dvoujlinkou ze zesaku k repraku (subwoofer)


Cinchce na propojení zesilovače a subwooferu?? To je doufám překlep.. Úsměv
   Pomohl ti příspěvěk? Návrat  
    
Zobrazit informace o autorovi  Odeslat soukromou zprávu
Příspěvky: 1140 H+ body: 1  
Hondik je teď offline  Hondik
4 háčka
Členství: Žádné
0
PříspěvekZaslal: 28.10.2010 , 19:25   Citovat  

Hifil napsal:
Cinchce na propojení zesilovače a subwooferu?? To je doufám překlep.. Úsměv


asi sem to spatne pochopil kdyz se ptal jakym dratem propojit zesak se subwooferem Se stydím
   Pomohl ti příspěvěk? Návrat  
    
Zobrazit informace o autorovi Osobní garáž Odeslat soukromou zprávu
Příspěvky: 4806 H+ body: 5 1990 Civic  
gear je teď offline  gear
4 háčka
Členství: Žádné
0
PříspěvekZaslal: 30.10.2010 , 19:27   Citovat  

pozměnil jsem název a mám ještě další dotaz, kolik ampér teče remote kabelem ? chci tam dávat vypínač kuli vyndávání wooferu. do 3A by měl vypinač stačit ne ? díky moc přátele
   Pomohl ti příspěvěk? Návrat  
    
Zobrazit informace o autorovi Osobní garáž Odeslat soukromou zprávu
Příspěvky: 2845 H+ body: 4 2016 Civic Tourer  
Skin3r je teď offline  Skin3r
1 háčko
0
PříspěvekZaslal: 30.10.2010 , 19:32   Citovat  

remote je pouze ovladaci takze by tam melo tyct 0,5 A maximalne neli o hodne min nebo se pletu ? to mi hlava nebere
   Pomohl ti příspěvěk? Návrat  
    
Zobrazit informace o autorovi  Odeslat soukromou zprávu
Příspěvky: 172 H+ body: 0  
gear je teď offline  gear
4 háčka
Členství: Žádné
0
PříspěvekZaslal: 30.10.2010 , 19:33   Citovat  

Skin3r napsal:
remote je pouze ovladaci takze by tam melo tyct 0,5 A maximalne neli o hodne min nebo se pletu ? to mi hlava nebere


no, průměr toho kablíku tomu odpovídá že tam budou desetinky, ale radši se ujišťuju Úsměv
   Pomohl ti příspěvěk? Návrat  
    
Zobrazit informace o autorovi Osobní garáž Odeslat soukromou zprávu
Příspěvky: 2845 H+ body: 4 2016 Civic Tourer  
PAKO je teď offline  PAKO
5 háček
0
PříspěvekZaslal: 31.10.2010 , 8:04   Citovat  

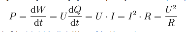
Úsměv


výpočet výkonu.PNG

Zobrazení obrázku v plné velikosti.
výpočet výkonu.PNG, 2.83 kB
   Pomohl ti příspěvěk? Návrat  
    
Zobrazit informace o autorovi Osobní garáž Odeslat soukromou zprávu
Příspěvky: 6138 H+ body: 0 1978 110R coupé  
Hifil je teď offline  Hifil
3 háčka
Členství: Žádné
0
PříspěvekZaslal: 31.10.2010 , 11:35   Citovat  

Mělo by to být maximálně 0,3 A. Alespoň na takový proud jsou mnohá rádia jištěná - s tím, že "utáhnou" i více zesilovačů.. Ten vypínač bude rozhodně stačit Úsměv
   Pomohl ti příspěvěk? Návrat  
    
Zobrazit informace o autorovi  Odeslat soukromou zprávu
Příspěvky: 1140 H+ body: 1  
gear je teď offline  gear
4 háčka
Členství: Žádné
0
PříspěvekZaslal: 31.10.2010 , 11:53   Citovat  

Hifil napsal:
Mělo by to být maximálně 0,3 A. Alespoň na takový proud jsou mnohá rádia jištěná - s tím, že "utáhnou" i více zesilovačů.. Ten vypínač bude rozhodně stačit Úsměv Proč přes vypínač?


meguš mi to poradila (tak! a už sem ji prásknul Velmi šťastný ), chci vyndávat subwoofer kuli místu v kufru. a když tam nebude tak nemusí jet ani zesík Úsměv

jo a přišel sem na error při instalaci tlumení, nějak sem zapomněl na vnější plech-omluvou mi budiž to, že se tam stejně skoro nedá strčit ruka a ani jsem neměl tolik tlumení nakoupenýho. je to velká chyba ? Se stydím
   Pomohl ti příspěvěk? Návrat  
    
Zobrazit informace o autorovi Osobní garáž Odeslat soukromou zprávu
Příspěvky: 2845 H+ body: 4 2016 Civic Tourer  
Hifil je teď offline  Hifil
3 háčka
Členství: Žádné
0
PříspěvekZaslal: 31.10.2010 , 12:00   Citovat  

jj. Důvod vypínače jsem přehlídl, ale než jsem stihl otázku umazat, tak jsi mi na ní znova odpověděl. Úsměv Meguška poradila samozřejmě správně Úsměv
Ono je tak nějak vždycky lepší se nejdřív radit a pak lepit. Přístup k vnějšímu plechu je špatnej snad v každym autě.. Chyba to je, ale v podstatě asi menší, než zapomenout na vnitřní plech.. Ale určitě by bylo lepší něco nalepit alespoň na středy velkých ploch vnějšího plechu - ten plech je "papír" a rád rezonuje..
Ještě je taky trochu škoda, že jsi se víc nezajímal o ampéry na napájecím kabelu - ty 2-3 stovky navíc na sadě se silnějšími kabely by byly určitě slyšet!
   Pomohl ti příspěvěk? Návrat  
    
Zobrazit informace o autorovi  Odeslat soukromou zprávu
Příspěvky: 1140 H+ body: 1  
gear je teď offline  gear
4 háčka
Členství: Žádné
0
PříspěvekZaslal: 31.10.2010 , 12:05   Citovat  

Hifil napsal:
jj. Důvod vypínače jsem přehlídl, ale než jsem stihl otázku umazat, tak jsi mi na ní znova odpověděl. Úsměv Meguška poradila samozřejmě správně Úsměv
Ono je tak nějak vždycky lepší se nejdřív radit a pak lepit. Přístup k vnějšímu plechu je špatnej snad v každym autě.. Chyba to je, ale v podstatě asi menší, než zapomenout na vnitřní plech.. Ale určitě by bylo lepší něco nalepit alespoň na středy velkých ploch vnějšího plechu - ten plech je "papír" a rád rezonuje..
Ještě je taky trochu škoda, že jsi se víc nezajímal o ampéry na napájecím kabelu - ty 2-3 stovky navíc na sadě se silnějšími kabely by byly určitě slyšet!


no... asi mi to nedá a časem vytlumím i ten vnější plech... chybama se člověk učí.. zmatenej a mříkáš že napájecí kabel 10qmm2 je málo ? ptal jsem se přímo prodejce s tím, že tam bude takový a takový výkon a ten průřez mi seděl i podle tabulek co jsem někde našel.
   Pomohl ti příspěvěk? Návrat  
    
Zobrazit informace o autorovi Osobní garáž Odeslat soukromou zprávu
Příspěvky: 2845 H+ body: 4 2016 Civic Tourer  
Hifil je teď offline  Hifil
3 háčka
Členství: Žádné
0
PříspěvekZaslal: 31.10.2010 , 12:24   Citovat  

Ano. Zdá se mi to málo.. Kde jsi to kupoval, smím-li se zeptat? Podle jaké tabulky to sedělo? Brala ta tabulka v potaz i délku kabelu?
   Pomohl ti příspěvěk? Návrat  
    
Zobrazit informace o autorovi  Odeslat soukromou zprávu
Příspěvky: 1140 H+ body: 1  
gear je teď offline  gear
4 háčka
Členství: Žádné
0
PříspěvekZaslal: 31.10.2010 , 12:38   Citovat  

Hifil napsal:
Ano. Zdá se mi to málo.. Kde jsi to kupoval, smím-li se zeptat? Podle jaké tabulky to sedělo? Brala ta tabulka v potaz i délku kabelu?


tak beru z5, prodejce mi 10qmm nedoporučil, já se ho na tenhle průřež už přímo ptal a o sestavě jsem nemluvil... ale někde jsem to našel že to má stačit... jen teď nemůžu najít kde a délku kabelu nezohledňovala, v tom ude možná zakopaný pes... na tvých stránkách to rozhodně nebylo, kdybych jel podle tvý tabulky tak tam desítku dávat nebudu no Velmi šťastný jeeee... samý lepší věci.. jinak kupoval jsem to v ahifi.cz

edit: tak už vím, zde se k tý sadě píše, že je pro připojení zesilovače do 600W RMS tudy odkaz a podle toho jsem ji vybral no..
   Pomohl ti příspěvěk? Návrat  
    
Zobrazit informace o autorovi Osobní garáž Odeslat soukromou zprávu
Příspěvky: 2845 H+ body: 4 2016 Civic Tourer  
Hifil je teď offline  Hifil
3 háčka
Členství: Žádné
0
PříspěvekZaslal: 31.10.2010 , 12:52   Citovat  

No jo, jasný.. Popisy těch kabelovejch sad jsou hodně nadnesený.. Ono by to teda šlo použít na 600W, ale musel bys dát max. 0,5m od baterky i na kostru.. Velmi šťastný
   Pomohl ti příspěvěk? Návrat  
    
Zobrazit informace o autorovi  Odeslat soukromou zprávu
Příspěvky: 1140 H+ body: 1  
gear je teď offline  gear
4 háčka
Členství: Žádné
0
PříspěvekZaslal: 31.10.2010 , 13:02   Citovat  

Hifil napsal:
No jo, jasný.. Popisy těch kabelovejch sad jsou hodně nadnesený.. Ono by to teda šlo použít na 600W, ale musel bys dát max. 0,5m od baterky i na kostru.. Velmi šťastný


no, tak to je fajn.. takže koupit větší průřez aby to hrálo... a pojistka bude stačit těch 40A ? průřez teda kolik? mezi 25 a 35 cenový rozdíl není, takže těch 35mm ? a ten 10qmm2 by šel použít na propojení zesíku a subwooferu ? dvojlinka 4mm se mi nepovedlo sehnat, tak že bych tam šoupnul tenhle
   Pomohl ti příspěvěk? Návrat  
    
Zobrazit informace o autorovi Osobní garáž Odeslat soukromou zprávu
Příspěvky: 2845 H+ body: 4 2016 Civic Tourer  
Hifil je teď offline  Hifil
3 háčka
Členství: Žádné
0
PříspěvekZaslal: 31.10.2010 , 13:06   Citovat  

Pokud bys kupoval jen kabel, tak bych dal 20-25 mmq - to by už stačilo. Větší ti nepůjde do toho pojistkovýho pouzdra atd. Pojistka by to měla přežít - ale být tebou, pořídil bych si do auta náhradní - a to už aspoň 60A.
   Pomohl ti příspěvěk? Návrat  
    
Zobrazit informace o autorovi  Odeslat soukromou zprávu
Příspěvky: 1140 H+ body: 1  

  Obsah fóra Honda-club.cz   
kolik A teče remote kabelem ?
Fórum: Interiér a Hi-Fi
0
Pomohlo ti toto téma?   
Zobrazit příspěvky z předchozích:
 Řadit příspěvky dle: 
Zaslat odpověď



 Časy uváděny v GMT + 1 hodina  
    
Nemůžete odesílat nové téma do tohoto fóra.
Nemůžete odpovídat na témata v tomto fóru.
Nemůžete upravovat své příspěvky v tomto fóru.
Nemůžete mazat své příspěvky v tomto fóru.
Nemůžete hlasovat v tomto fóru.
Můžete k příspěvkům připojovat soubory
Můžete stahovat a prohlížet přiložené soubory
Nemůžete moderovat Vaše témata v tomto fóru.



Board Security

(104575 útoků)
::  www.honda-club.cz  :: Témata RSS TOPlist

[ Čas: 0.2097s ][ Dotazy: 119 (0.0200s) ][ GZIP on - Debug on ]